近日,四川、陕西、河南、宁夏、青海、内蒙古等第五批8省启动新高考改革,将从2022年秋季入学高一年级开始实行,2025年首次按新方案进行高考,采用“3+1+2”考试模式。值得注意的是,高考改革此轮已是第五批。方案和模式与此前第三、第四批省市相比,最大的特点就是总的方案基本没有变化。也就是说目前高考改革方案基本完善,也稳定下来了,实施风险几乎可以忽略了。截止目前,仅有新疆、西藏因故仍然保留老高考,全国其他省市全部进入新高考周期。这也意味着以分类考试、综合评价、多元录取为主要方向的新高考体系基本形成。究竟什么是“3+1+2”?12种选择的利弊风险如何?如何赋分?纵观新高考改革的实施过程,第一批和第二批采用“3+3”高考模式,即第一个“3”为语文、数学、外语,第二个“3”为3门选考科目,实施省份包括浙江、上海、北京、天津、山东、海南;第三批和第四批皆为“3+1+2”模式,包括河北、辽宁、江苏、福建、湖北、湖南、广东、重庆、黑龙江、甘肃、吉林、安徽、江西、贵州、广西。第五批8省区公布的新高考方案,依然沿用“3+1+2”模式。
“3”指的是:语文、数学、外语,这三门科目考试参加统一高考,由教育部考试中心统一命题,以原始成绩计入考生总成绩;“1”指的是:物理和历史,考生必须从物理和历史两个科目中选择一科,由各省自主命题,以原始成绩计入考生总成绩;“2”指的是:考生从化学、生物、地理和政治四门科目中选两门,选考由各省命题,通过等级赋分的方式,将赋分后的成绩计入考生总成绩。考生总成绩由全国统一高考的语文、数学、外语3个科目成绩和考生选择的3科普通高中学业水平选择性考试科目成绩组成,满分为750分。即通常所说的“3+1+2”模式。目前已知的首选物理或历史,加自选的组合就有以下12种组合:新高考后,普通本科高等学校考试招生按物理科目组合和历史科目组合分列招生计划、分别划定最低录取控制分数线。考生志愿由“专业(类)+院校”组成,实行平行志愿投档,实现“多元录取”。也就意味着,某些专业会在科目上进行限制,如果选科没有选好,志愿填报时很可能会出现无法挑选的局面。选考科目与学科本身的特性是分不开的,下面大致列举各学科学习难度及选科情况,供考生做选科参考。
生物的整体难度在数理化生中最低,更易学习,性价比较高。他注重基础知识的考察以及信息的提取能力。就近几年来说,我国生物技术突飞猛进,学科社会价值越来越高,未来前景很好,也是理科能力较弱的考生的首选科目。物理学科相对来说难度较高,知识之间联系很紧密,注重逻辑思维的培养,涉及的场景与实际生活比较贴近,对现在和将来的理科学习都有很好的辅助作用。地理科目文理兼备,学习难度低于理化生,背诵内容少于历史政治,考题客观但答案明确,相对比较容易拿高分,对于选择物理的偏理科生而言,大部分人会选择偏理科的地理,显然要比政治容易的多。纯文科的科目,知识面要求广,但相较地理、政治等文科科目更容易理解,拿分比较简单。由于是首选科目之一,很多物理弱的这部分人都会选择这个科目。化学是以实验为基础的学科,难度低于数理,高于生物,要求考生拥有较高的识记能力的同时还要充分理解,这个学科是有助于考生的发散思维,是我们在今后繁杂工作能分析解决问题。政治学科记忆内容多且与时俱进、贴近生活。也正因为此,它每年试题变化大,所学内容可能和要考的内容就会有差距,而且教材上有可能没有,所以得高分不容易,而且关键是没有把握,浮动可能会较大。所以,导致选考的人数相对较少。但政治是大学考研必修科目,如果高中未选考,造成长时间的知识断档,对今后的考研之路是有一定影响的。物理+化学+政治,这种组合的优势在于:第一,专业选择面广,可报专业超过96%;第二,为未来发展有帮助,政治科目的加入,有利于将来考研和考公务员。这个组合中三门学科所学的学习能力各有侧重,物理强调逻辑思维能力;化学尽管是偏理科科目,因为知识体系的因素,需要进行大量的记忆;而政治又需要良好的文字表达能力和文科素养。三门学科之间关联性小,学习跨度大,所以,学习该组合需要文理科素养兼备。不具备这种特点的考生,一点要慎选。这个组合是一个比较偏理科的组合;它的优势有两个:一是专业选择面广,可报专业均超过了96%;二是学习时记忆背诵的内容较少,理解的内容最多,学科之间关联密。地理虽说是传统文科,但是相对其他两门文科,更偏重于理解能力和逻辑思维能力。所以,与擅长文科思维的学生相比,那些能够选择物理和化学科目、擅长理科思维的学生学地理更具有优势。同时,这个组合也存在着挑战:学习难度大,选科人数多且优生多,竞争尤为激烈。物化生这个组合可以说是纯理科组合了,一般理科很强的学生,都会直接选择这个组合,这样的选择可能会违背了新课改全面发展的理念,但是新高考选科还是要以学生的个人意愿为先,按照兴趣爱好为准。一般选择物化生的学生,要么是理科特别好的,要么是文科特别差的。大家都知道新高考采用的是赋分制,如果物化生成绩一般的学生选择这三科,遇到理科学霸,是很不占优势的,因为竞争太激烈了。这种组合虽然也有一些专业不能报考,但是竞争压力也会小一些,反而会赢得很多优势。比如,学了物理这科,很多名牌大学都可以报考,因为一些好大学都对物理这科有限制,不学物理就会失去很多考名校的机会。而选考政治这科,很多文科性质的专业又都可以去学了,大大放宽了限制,而且生物这科又不怎么难,所以高考还是很占优势的。分析及建议:高中选考科目中最难的科目是哪一科?说是物理,可能绝大多数学生都不会反驳;高中选考科目第二难的是哪门学科?如果说是化学,可能就会受到很大的争议,这个真的因人而异。但是,对于多数学生来说,化学还是比生物和地理难学难考的。从总体难度上来说,生物和地理是属于偏“中性”的学科,既需要文科生的记忆,又需要理科生理解,正因为如此,二者学习的深度和考试的难度都不是很大,学生相对来说是比较容易得分的。物理+地理+政治这个组合的特点明显:喜欢物理但特别不喜欢生化的无奈之举。可报专业比例在92%左右。一方面,在学习过程中,学生需要在理科思维和文科思维中不断切换;另一方面,从已经试点高考改革的省份看,选择这个组合的考生人数较少,不利于了解自身真实水平;第三,由于学校师资和场地的限制,大部分学校很难单独为人数少的组合设计走班课程时间表。所以,这个组合最具挑战性。选择这个组合的学生有明显特点:有文科偏好但对地理学科不感兴趣。因为有了一门理科的加入,拓宽了专业选择面。"历史+政治+化学”可报专业比例为65%,而在学习化学时,都需要强调对多而零碎知识点的记忆和归纳,所以,这两个组合适合文科思维有优势,文字表达能力和记忆能力强,逻辑思维相对不太强的学生。“历史+地理+化学”个组合适合物理不擅长、政治不喜欢,或擅长以记忆为主,动手能力强,文字表达好的学生,学科似乎跨度小但思维跨度大,竞争非常激烈,地理要和学物理的过招,化学、生物要和学物理的比拼,选择该组合的人要慎重。选择这个组合的学生有明显特点:有文科偏好但对地理学科不感兴趣。因为有了一门理科的加入,拓宽了专业选择面。而在学习化学和生物时,都需要强调对多而零碎知识点的记忆和归纳,所以,这两个组合适合文科思维有优势,文字表达能力和记忆能力强,逻辑思维相对不太强的学生。该组合更适合对物理不感兴趣或物理成绩不理想,化学、生物成绩相对有优势的学生。如果将来想要学习生物科学、食品科学、海洋科学、环境科学、植物生产类、生命科学、医学类相关专业的,也适合选择该组合。“历史+地理+生物”这个组合适合物理不擅长、政治不喜欢,或擅长以记忆为主,动手能力强,文字表达好的学生,学科似乎跨度小但思维跨度大,竞争非常激烈,地理要和学物理的过招,化学、生物要和学物理的比拼,选择该组合的人要慎重。历史+地理+政治,该组合是最传统的文科组合,从学习难度来看,这个组合相对更轻松。从已经试点高考改革的省份看,也是选课人数最多的组合之一,因此,意味着竞争异常激烈。这种组合更适合想选艺术专业、传媒专业的考生;或致力于考取汉语言文学、新闻学、马克思主义理论类、哲学类、经济学类、法学类、教育学类、文学类历史学类、管理学类、艺术学类、气象、地图测绘、城市规划、水利水电、酒店管理、旅游、地质勘探、资源管理、文物保护技术等门类和专业的学生。“3”:语文、数学、外语3科满分均为150分,总分450分,各科均以原始成绩计入考生总成绩;“1”:物理或历史必选一科,满分为100分,以原始成绩计入考生总成绩;“2”:政治、地理、化学、生物任选2科,每科满分均为100分,以等级赋分成绩计入考生总成绩。也就是说,涉及到“等级转换赋分”的科目,是政治、地理、化学、生物4门,这4门要以等级赋分后的成绩计入总成绩。以福建省新高考方案为例,将每科考生的原始分从高到低划分为A、B、C、D、E共5个等级,各等级人数所占比例分别为15%、35%、35%、13%和2%。将A至E等5个等级内的考生原始分,依照等比例转换原则,分别转换到100-86分、85-71分、70-56分、55-41分和40-30分五个分数区间,得出考生的等级转换分。每科计算等级转换的考生人数即转换基数,具体为实际参加该科目考试的人数,不含因违纪作弊被取消该科成绩的考生。这也将意味着,你选择科目的人数将决定你的换算成绩,在选科时,这也是值得考虑的因素之一。这一做法,让选择同一科的同学进行对比,然后赋分,有利于解决因试题难度不同而导致的不公平。1.等级赋分制不是按照考生的卷面分数来计算成绩。遵循“原始分数——百分比例——等级——转化分数”的等级赋分路径。2.等级赋分由相关主管部门自动完成,大家在查询到自己的高考成绩时,看到的已经是赋分后的分数,不需要大家自行换算。以实际参加该科选考人数的成绩为基数,将各考生原始成绩从高到低划分为A、B、C、D、E共5个等级,各等级人数所占比例分别约为15%、35%、35%、13%和2%。以上的5个等级及各等级对应的比例及赋分区间是事先设定的固定规则,转换后赋分成绩满分为100分,赋分起点为30分。
某学科原始分前15%的考生最高分为100分,最低分为95分,则该学科A等级的原始分区间为【100~95】。
已知A等级赋分区间为【100~86】分(固定不变),
也就是说,原始分【100~95】的考生为A等级,赋分后最终成绩为【100~86】分。
某学科考试成绩最后2%的考生最高分为20分,最低分为5分,则该科目E等级的原始分区间为【20~5】。
已知E等级赋分区间为【40~30】分(固定不变),
也就是说,原始分【20~5】的考生为E等级,赋分后最终成绩为【40~30】分。
极端地讲,假设这个区间某考生原始分为5分,赋分后也能拿到30分。
考虑到高考分数都以整数呈现,故上述公式的计算结果需要进行“四舍五入”处理。
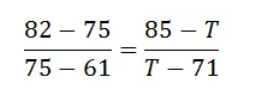
假设小淘同学政治学科原始分为75分,再假设政治学科B等级原始分区间为【82~61】,则小淘同学政治学科为B等级;
下面进行赋分换算:B等级的赋分区间【85~71】(固定不变),那么小淘同学赋分后分数为:
解得,T≈80.33;四舍五入后小淘同学政治学科最终赋分成绩为80。

假设小淘同学地理学科原始分为75分,
再假设地理学科B等级原始分区间为【88~75】,则小淘同学地理学科为B等级;
下面进行赋分换算:B等级的赋分区间【85~71】(固定不变),小淘同学考了B等级原始分区间的最低分,
所以小淘同学地理学科最终赋分成绩为71。
等级赋分能够较好解决学科之间分数不等值、学生选考科目分数不能直接相加参加高校招生录取的问题。如果以原始分呈现考试成绩,会带来学科间不公平问题;等级呈现方式则使得不同学科考生因等级划分而保持了成绩相对均衡,学科间试题难易差异等不公平因素可以被较好消除,使得不同科目之间成绩可以相加。Q:赋分和选考人数有关吗?选考人数越多越容易被赋分?考虑赋分因素要重点注意以下几类情况︰学霸选考越集中,成为炮灰的可能性越大;试题难易程度:试题难度越简单,学霸区的炮灰就会越多。试题越难,学霸越容易和其他人拉开差距,考上名校。赋分模式下,选择人数越多,赋分结果就越趋于合理,选择人数越少,偶然性就会越大。总而言之,赋分制度下不仅要求考生考虑自身的成绩,还要考虑本省其他竞争者的成绩。这一现象在首批试点的浙江省有出现,采取的措施为设置最低保障基数,当选考人数少于“基数”时,则按照基数人数进行赋分。新高考改革采取赋分制,最高100分,最低30分,如果考生交白卷,实际卷面成绩0分,选科目成绩被排到E等级。那么在等级赋分后,任选科目每科最少也有30分会被计入总成绩,两门任选科目即60分。Q:新高考改革,选择纯文组合,除了专业选择受限,赋分会吃亏吗?纯文组合的专业覆盖率偏低,但是赋分的高低主要跟排名有关系,考生如果文科排名很靠前,也有被赋予高分的可能。不一定,决定大学录取分数线的因素是考生的投档人数,招生计划等因素,新高考中虽然实行了赋分,但是是所有学生都参与赋分,形成的高考总成绩是不影响录取分数线的。新高考改革选择等级赋分制,赋分主要看排名,考生排名在前1%,基本上都可以被赋予满分。二是能够最大限度地保证考生的成绩具有良好的区分度,满足高校人才选拔的需求。Q:历史类考985、211的分数,会比物理类的高吗?不一定,具体的要看每个学校的专业实力,投档人数,招生计划等因素。影响考生赋分成绩的因素包括学生排名、选考学生层次、学科及试卷的难易程度、选考人数等。以往文科因此题目较主观的原因,很难得高分或满分,但赋分之后,将成绩分布在各个区间,成绩整体比以前高。赋分的高低主要受考生排名的影响,选考人数越多,赋分结果就越趋于合理,选择人数越少,偶然性就会越大,冷门学科选考的人数可能较少,但是能不能被赋予高分还是看考生的实际排名,是否有优势无法准确衡量。新高考实施后,高校录取也有了新的评价体系,更加注重学生的全面发展。高校根据考生的全国统一考试和普通高中学业水平“选择考”成绩,参考普通高中学生综合素质评价(即:“两依据一参考”),择优录取考生。合格性考试成绩是普通高中毕业生认定的主要依据;选择性考试成绩计入考生高考总成绩,作为普通高校招生录取的重要依据。合格性考试为覆盖国家普通高中课程方案规定的除劳动教育和综合实践活动课程外的所有科目,共14门,包括语文、数学、外语、物理、化学、生物学、思想政治、历史、地理、信息技术、通用技术、音乐、美术、体育与健康。普通高中在校生均参加合格性考试,考试科目成绩全部合格者,颁发普通高中毕业证书。也就是说,合格性考试不仅是颁发毕业证的依据,也是作为高校招生录取时的重要参考。